
|
|
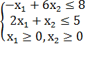
Главная \ База готовых работ \ Математичні методи в економіці. Економетрія. ЕММ \ Заказ 34837 (200 грн.) Завдання Розв’язати задачу табличним симплекс-методом: z=3х_1+2х_2→mах {█(-х_1+6х_2≤8@2х_1+х_2≤5@х_1≥0,х_2≥0)┤
Заказ 34837 (200 грн.) Завдання Розв’язати задачу табличним симплекс-методом: z=3х_1+2х_2→mах {█(-х_1+6х_2≤8@2х_1+х_2≤5@х_1≥0,х_2≥0)┤« Назад
Заказ 34837 (200 грн.) Завдання Розв’язати задачу табличним симплекс-методом: z=3х_1+2х_2→mах {█(-х_1+6х_2≤8@2х_1+х_2≤5@х_1≥0,х_2≥0)┤ 02.08.2020 18:05
Завдання Розв’язати задачу табличним симплекс-методом:
|